Posts Tagged wearable technology
[WEB SITE] New wireless sleeve to help people recover arm use after stroke – ScienceDaily
Posted by Kostas Pantremenos in Paretic Hand on January 29, 2018
- Summary: Scientists are intending to develop and trial a new wearable technology to help people who have had a stroke recover use of their arm and hand. The team will create a wireless sleeve, which will provide automatic, intelligent information about muscle movement and strength while patients practice every-day tasks at home. The data will be available on a computer tablet to enable patients to review their progress as well as to allow therapists to tailor their rehabilitation program.

Led by Professor Jane Burridge, the team will create a wireless sleeve, which will provide automatic, intelligent information about muscle movement and strength while patients practice every-day tasks at home.
The data will be available on a computer tablet to enable patients to review their progress as well as to allow therapists to tailor their rehabilitation programme.
The two-year project has been funded with a grant of just under £1 million from the National Institute for Health Research (NIHR) through its Invention for Innovation (i4i) programme and is a collaboration between the University of Southampton and Imperial College London, two medical technology consultancies; Maddison and Tactiq and NHS Trusts in Bristol and Portsmouth.
Jane Burridge, Professor of Restorative Neuroscience at Southampton, comments: “About 150,000 people in the UK have a stroke each year and, despite improvements in acute care that results in better survival rates, about 60 per cent of people with moderate to severe strokes fail to recover useful function of their arm and hand.
“Stroke rehabilitation is increasingly home-based, as patients are often discharged from hospital after only a few days. This policy encourages independence and avoids problems associated with prolonged hospital stays. However, some patients struggle to carry out the exercises and they may question whether what they are doing is correct. Similarly therapists don’t have objective measurements about their patients’ muscle activity or ability to move. Rehabilitation technologies like our sleeve will address problems faced by both patients and therapists.”
The wearable technology is the first to incorporate mechanomyography (MMG) microphone-like sensors that detect the vibration of a muscle when it contracts, and inertial measurement units (IMU), comprising tri-axial accelerometers, gyroscopes and magnetometers that detect movement. Data from the two types of sensors will be put together and then data that is not needed, for example outside noise, will then be removed from the muscle signal.
The feedback to patients will be presented on a user-friendly computer interface as an accurate representation of their movement, showing them how much they have improved.
The same sleeve and computer tablet technology, but using different software and user-interfaces, will provide therapists with information to help them diagnose specific movement problems, and inform their clinical decision-making, monitor progress and therefore increase efficiency and effectiveness of therapy.
Professor Burridge adds: “We hope that our sleeve will help stroke patients regain the use of their arm and hand, reduce time spent with therapists and allow them to have the recommended 45 minutes daily therapy more flexibly.. It will also be used to assess patients’ problems accurately as well as more cheaply and practically than using laboratory-based technologies.”
The team, which includes members who themselves have suffered strokes, are working with medical device consultancies, Maddison and Tactiq to develop wearable prototypes and graphical user interfaces which can then be trialled with patients from two NHS sites. They will test the user interfaces, wireless connectivity and examine how easy the sleeve is to wear. The potential cost savings to the NHS will also be examined.
Story Source: Materials provided by University of Southampton. Note: Content may be edited for style and length.
via New wireless sleeve to help people recover arm use after stroke — ScienceDaily
[REVIEW] Interactive wearable systems for upper body rehabilitation: a systematic review – Full Text PDF
Posted by Kostas Pantremenos in REHABILITATION on May 26, 2017
Abstract
Background: The development of interactive rehabilitation technologies which rely on wearable-sensing for upper body rehabilitation is attracting increasing research interest. This paper reviews related research with the aim: 1) To inventory and classify interactive wearable systems for movement and posture monitoring during upper body rehabilitation, regarding the sensing technology, system measurements and feedback conditions; 2) To gauge the wearability of the wearable systems; 3) To inventory the availability of clinical evidence supporting the effectiveness of related technologies.
Method: A systematic literature search was conducted in the following search engines: PubMed, ACM, Scopus and IEEE (January 2010–April 2016).
Results: Forty-five papers were included and discussed in a new cuboid taxonomy which consists of 3 dimensions: sensing technology, feedback modalities and system measurements. Wearable sensor systems were developed for persons in: 1) Neuro-rehabilitation: stroke (n = 21), spinal cord injury (n = 1), cerebral palsy (n = 2), Alzheimer (n = 1); 2) Musculoskeletal impairment: ligament rehabilitation (n = 1), arthritis (n = 1), frozen shoulder (n = 1), bones trauma (n = 1); 3) Others: chronic pulmonary obstructive disease (n = 1), chronic pain rehabilitation (n = 1) and other general rehabilitation (n = 14). Accelerometers and inertial measurement units (IMU) are the most frequently used technologies (84% of the papers). They are mostly used in multiple sensor configurations to measure upper limb kinematics and/or trunk posture. Sensors are placed mostly on the trunk, upper arm, the forearm, the wrist, and the finger. Typically sensors are attachable rather than embedded in wearable devices and garments; although studies that embed and integrate sensors are increasing in the last 4 years. 16 studies applied knowledge of result (KR) feedback, 14 studies applied knowledge of performance (KP) feedback and 15 studies applied both in various modalities. 16 studies have conducted their evaluation with patients and reported usability tests, while only three of them conducted clinical trials including one randomized clinical trial.
Conclusions: This review has shown that wearable systems are used mostly for the monitoring and provision of feedback on posture and upper extremity movements in stroke rehabilitation. The results indicated that accelerometers and IMUs are the most frequently used sensors, in most cases attached to the body through ad hoc contraptions for the purpose of improving range of motion and movement performance during upper body rehabilitation. Systems featuring sensors embedded in wearable appliances or garments are only beginning to emerge. Similarly, clinical evaluations are scarce and are further needed to provide evidence on effectiveness and pave the path towards implementation in clinical settings.
[ARTICLE] Interactive wearable systems for upper body rehabilitation: a systematic review – Full Text
Posted by Kostas Pantremenos in REHABILITATION, Rehabilitation robotics on March 12, 2017
Abstract
Background
The development of interactive rehabilitation technologies which rely on wearable-sensing for upper body rehabilitation is attracting increasing research interest. This paper reviews related research with the aim: 1) To inventory and classify interactive wearable systems for movement and posture monitoring during upper body rehabilitation, regarding the sensing technology, system measurements and feedback conditions; 2) To gauge the wearability of the wearable systems; 3) To inventory the availability of clinical evidence supporting the effectiveness of related technologies.
Method
A systematic literature search was conducted in the following search engines: PubMed, ACM, Scopus and IEEE (January 2010–April 2016).
Results
Forty-five papers were included and discussed in a new cuboid taxonomy which consists of 3 dimensions: sensing technology, feedback modalities and system measurements. Wearable sensor systems were developed for persons in: 1) Neuro-rehabilitation: stroke (n = 21), spinal cord injury (n = 1), cerebral palsy (n = 2), Alzheimer (n = 1); 2) Musculoskeletal impairment: ligament rehabilitation (n = 1), arthritis (n = 1), frozen shoulder (n = 1), bones trauma (n = 1); 3) Others: chronic pulmonary obstructive disease (n = 1), chronic pain rehabilitation (n = 1) and other general rehabilitation (n = 14). Accelerometers and inertial measurement units (IMU) are the most frequently used technologies (84% of the papers). They are mostly used in multiple sensor configurations to measure upper limb kinematics and/or trunk posture. Sensors are placed mostly on the trunk, upper arm, the forearm, the wrist, and the finger. Typically sensors are attachable rather than embedded in wearable devices and garments; although studies that embed and integrate sensors are increasing in the last 4 years. 16 studies applied knowledge of result (KR) feedback, 14 studies applied knowledge of performance (KP) feedback and 15 studies applied both in various modalities. 16 studies have conducted their evaluation with patients and reported usability tests, while only three of them conducted clinical trials including one randomized clinical trial.
Conclusions
This review has shown that wearable systems are used mostly for the monitoring and provision of feedback on posture and upper extremity movements in stroke rehabilitation. The results indicated that accelerometers and IMUs are the most frequently used sensors, in most cases attached to the body through ad hoc contraptions for the purpose of improving range of motion and movement performance during upper body rehabilitation. Systems featuring sensors embedded in wearable appliances or garments are only beginning to emerge. Similarly, clinical evaluations are scarce and are further needed to provide evidence on effectiveness and pave the path towards implementation in clinical settings.
Background
In musculoskeletal disorders, such as disorders of the neck-shoulder complex or osteoporosis, and in neurological disorders such as stroke, the integration of posture awareness of the upper trunk and shoulder complex as a stable basis for upper limb movement is an essential component of rehabilitation [1, 2, 3]. Therefore feedback on the posture of the trunk and shoulder complex and feedback on upper limb movement may be supportive of motor learning [4]. Although the pathological mechanisms of posture deviation during static conditions (standing, sitting) or during movement performance (upper limb activities, posture during gait) are quite different across the above mentioned patient populations the corresponding therapeutic approaches share an emphasis on increasing patient awareness of correct posture and movement patterns and the provision of corrective feedback during functional task execution. In all of the above patients, intrinsic feedback mechanisms that inform the patient (e.g. proprioceptive cues) are impaired [5, 6, 7] and extrinsic feedback is advocated to relearn correct joint positions/posture during movement. Traditionally extrinsic feedback is provided by a therapist, so this way of learning is very time consuming and difficult to carry out independently, e.g. during home exercises. Suitable rehabilitation technologies can potentially play an instrumental role in extending training opportunities and improving training quality.
Posture monitoring and correction technologies providing accurate, and reliable feedback, may support current rehabilitation activities [8, 9]. Ideally feedback is given continuously for users with low proficiency levels, and with fading frequency schedules for more advanced users [8]. In broad terms, there are five kinds of monitoring methods available: 1) traditional mechanical systems (e.g. goniometer); 2) optical motion recognition technologies [10]; 3) marker-less off body tracking systems like depth camera-based movement detection systems (e.g. Microsoft Kinect [11, 12]); 4) Robot-based solutions [13, 14]; 5) wearable sensor-based systems [4]. Recently, the miniaturization of devices, the evolution of sensing and body area network technologies [15, 16] has triggered the increasing influence of wearable rehabilitation technology, offering advantages over traditional rehabilitation services [17, 18], such as: low cost, flexible application, remote monitoring, comfort. Wearable sensing systems open up the possibility of independent training, the provision of feedback to the end-user as an active monitoring system, or even tele-rehabilitation.
A great number of wearable posture/motion monitoring systems for rehabilitation have been reported in literature in recent years, though very few have been used in clinical studies. Some studies introduce innovative wearable sensing technologies, e.g. Kortier et al. [19] developed a hand kinematics assessment glove based on attaching a flexible PCB structure on the finger that contains inertial and magnetic sensors. Tormene et al. [20] proposed monitoring trunk movements by applying a wearable conductive elastomer strain sensor. Studies like this are primarily concerned with demonstrating the accuracy and reliability of the technology they introduce. Another body of research concerns evaluations of existing rehabilitation technologies in terms of their validity. For example, Uswatte et al. [21] conducted a validation study of accelerometry for monitoring arm activity of stroke patients. Bailey et al. [22] proposed a study on a accelerometry-based methodology for the assessment of bilateral upper extremity activity. Lemmens et al. [23] report a proof of principle for recognizing complex upper extremity activities using body worn sensors.
There are a few examples of a literature that grows fast. The need arises to classify related works and identify promising trends or open challenges in order to guide future research. To address this need, there have been several reviews of research on wearable systems for rehabilitation, which take quite diverse perspectives on this vibrant field. An early review by Patel et al. [16] takes a very broad perspective that covers health and wellness, rehabilitation and even prevention, reviewing wearable and ambient technologies. Hadjidj et al. [24], provide an non-systematic review of literature on wireless sensor technologies focusing on technical requirements. Some studies focus on physical activity monitoring [25, 26] a technology domain that has had substantial growth and impact, but which is not specific to rehabilitation. Allet et al. [26] review wearable systems for monitoring mobility related activities in chronic diseases; this review covered mostly systems measuring general physical activity and found no works reaching the stage of clinical testing. Some studies provide an in-depth overview of movement measurement and analysis [27, 28, 29] technologies, though these are not necessarily integrated in rehabilitation systems and are usually still at the stage of proof of principle for a measurement technique. Vargas et al. [30] reviewed inertial sensors applied in human motion analysis, and concluded that inertial sensors can offer a task-specific accurate and reliable method for human motion studies. A couple of recent surveys [31, 32] have reviewed e-textile technologies applied in rehabilitation, though one of their main conclusions was to identify the distance separating the requirements for applying textiles to rehabilitation from the current state of the art. Also, they identify that the potential of providing feedback to patients based on textile sensing remains largely unexplored. Some studies concentrated specifically about how feedback influences therapy outcome [33, 34, 35], however the systems involved are not only wearable systems and all these reviews date 6 years or longer. Wang et al. [9] reviewed wearable posture monitoring technology studies from 2008 to 2013 for upper-extremity rehabilitation, yet unlike the present article, no systematic comparisons based on technology, system usability, feedback and clinical maturity were provided. In line with Fleury et al. [32] they found that only a few studies report the integration of wearable sensing in complete systems supporting feedback to patients, and very few of those have been tested by users with attention to the usability and wearability. Given the limited nature of that survey, such a conclusion was tentative calling for a systematic survey to gauge the state of the art in upper body rehabilitation technologies that integrate wearable sensors. The focus of the present survey is different regarding to the sensor type and placement, and rehabilitation objective. The present article contributes a different perspective to these surveys by critically reviewing and comparing systems comprising of feedback to support upper body rehabilitation with regard to their functionality and usability. In this review we focus on interactive wearable systems that provide feedback to end-users for rehabilitation. In addition, in order to review the latest and most innovative technological solutions that shed a light on the state of the art wearable solutions for rehabilitation, only articles published later than 2010 are considered.
The translation from a technical tool towards a clinically usable system is not straightforward. Prerequisites for therapists and patients to use technology supported rehabilitation systems are the easy-to-use character of the system, its added value to their habitual rehabilitation programs and its credibility. Besides, it is of major importance to design the system feedback as this positively influences motivation and self-efficacy [8]. Advanced technologies provide increasing possible forms of feedback and a growing number of studies used interactive wearable systems to motivate patients in the intensive and repetitive training.
-
To inventory and classify interactive wearable systems for movement and posture monitoring during upper body rehabilitation, regarding the sensing technology, system measurements and feedback conditions;
- To gauge the wearability of the wearable systems;
- To inventory the availability of clinical evidence supporting the effectiveness of related technologies.
[VIDEO] Mind-blowing! A shirt that creates functional electric stimulation, helps regain lost motor function – YouTube
Posted by Kostas Pantremenos in Functional Electrical Stimulation (FES), Video on January 15, 2017
Myant is an innovation hub for designing, developing and producing wearable technology. Our in-house team holds an array of talents who are industry leaders in fashion design, chemistry, physics, software development and engineering, creating a diverse group of talent, with the expertise to deliver on any project.
Together we believe in intelligently integrating and embedding technology into textiles in order to change how we live.
For more information see http://www.myant.ca/ and http://www.IDTechEx.com
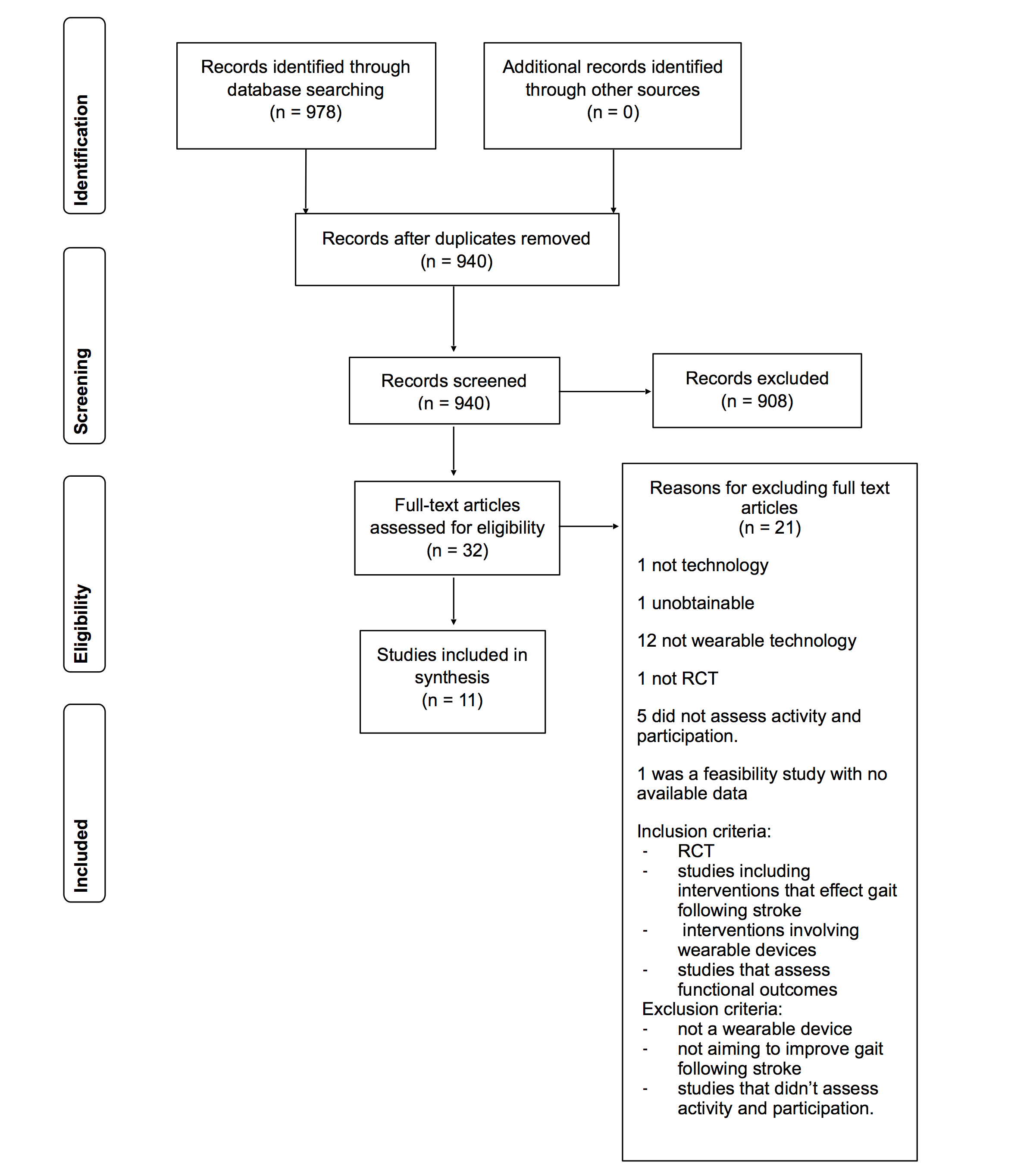
[ARTICLE] The Effectiveness of Lower-Limb Wearable Technology for Improving Activity and Participation in Adult Stroke Survivors: A Systematic Review
Posted by Kostas Pantremenos in Gait Rehabilitation - Foot Drop on October 16, 2016
ABSTRACT
Background: With advances in technology, the adoption of wearable devices has become a viable adjunct in poststroke rehabilitation. Regaining ambulation is a top priority for an increasing number of stroke survivors. However, despite an increase in research exploring these devices for lower limb rehabilitation, little is known of the effectiveness.
Objective: This review aims to assess the effectiveness of lower limb wearable technology for improving activity and participation in adult stroke survivors.
Methods: Randomized controlled trials (RCTs) of lower limb wearable technology for poststroke rehabilitation were included. Primary outcome measures were validated measures of activity and participation as defined by the International Classification of Functioning, Disability and Health. Databases searched were MEDLINE, Web of Science (Core collection), CINAHL, and the Cochrane Library. The Cochrane Risk of Bias Tool was used to assess the methodological quality of the RCTs.
Results: In the review, we included 11 RCTs with collectively 550 participants at baseline and 474 participants at final follow-up including control groups and participants post stroke. Participants’ stroke type and severity varied. Only one study found significant between-group differences for systems functioning and activity. Across the included RCTs, the lowest number of participants was 12 and the highest was 151 with a mean of 49 participants. The lowest number of participants to drop out of an RCT was zero in two of the studies and 19 in one study. Significant between-group differences were found across three of the 11 included trials. Out of the activity and participation measures alone, P values ranged from P=.87 to P ≤.001.
Conclusions: This review has highlighted a number of reasons for insignificant findings in this area including low sample sizes, appropriateness of the RCT methodology for complex interventions, a lack of appropriate analysis of outcome data, and participant stroke severity.
Introduction
The worldwide incidence of stroke is set to escalate from 15.3 million to 23 million by 2030 []. In the United Kingdom, strokes are the largest single cause of disability [] resulting in a cost to the economy of £8.9 billion a year []. It is estimated that following a stroke, only 15% will gain complete functional recovery for both the upper and lower extremities [] with walking and mobility being key issues for many stroke survivors who report the importance of regaining mobility []. However, with the ever-increasing financial challenges facing the National Health Service (NHS), service needs cannot be met. Therefore, utilizing information and communication technology together with the implementation of well-evidenced medical technologies is essential for continued rehabilitation for stroke survivors.
The adoption of technological solutions can facilitate patient and caregiver empowerment and a paradigm shift in control and decision making to that of a shared responsibility and self-management []. It also has the potential to reduce the administrative burden for care professionals and support the development of new interventions []. Incorporating technology into the daily lives of stroke survivors is a key objective in safeguarding a better quality of life for them.
Evidence exists supporting the need for intensity and repetition of motor skills in order to promote neuroplasticity and motor relearning []. A number of technological aids with a potential to enhance poststroke motor recovery has been explored []. However, many include the use of expensive, large, complex, cumbersome apparatus that necessitates the therapist to be present during use []. Therefore inexpensive, externally wearable, commercially available sensors have become a more viable option for independent home-based poststroke rehabilitation [].
Recent systematic and non-systematic reviews highlight the growing use of externally wearable devices to augment poststroke rehabilitation in both clinical and non-clinical settings for motion analysis and physical activity monitoring [–]. These include microelectromechanical systems containing accelerometers, gyroscopes, and magnetometers; fabric and body-worn sensor networks []; and physiological monitoring such as blood pressure and oxygen saturation [,]. Other wearable devices specifically designed and used for poststroke rehabilitation also include robotics [], virtual reality [], Functional Electrical Stimulation (FES) [], electromyographic biofeedback (EMG-BFB) [], and Transcutaneous Electrical Nerve Stimulation (TENS) [,].
However, while these devices have the potential to reliably measure duration, frequency, intensity, and quality of activity and movement, all of which are key variables for poststroke recovery [], no reviews have synthesized the effectiveness of these devices for poststroke lower-limb rehabilitation.
The International Classification of Functioning, Disability and Health (ICF) [] considers the interaction between pathology (body structure and function), impairment (signs and symptoms), activities (functionality), and participation (social integration) and has now become the main conceptual framework for poststroke rehabilitation [–]. For this review, we focused on the activities and participation domain of the ICF as this would provide an indication of how the interventions have or have not led to functional gains in everyday life, which is the rehabilitation goal for both clinicians and stroke survivors [].
Therefore, the aim of this review was to examine how effective external wearable devices are as interventions for improving function of the lower limb in adult stroke survivors.
[ARTICLE] ArmSleeve: a Patient Monitoring System to Support Occupational Therapists in Stroke Rehabilitation – Full Text PDF
Posted by Kostas Pantremenos in Paretic Hand, REHABILITATION on May 28, 2016
ABSTRACT
This paper describes the design of “ArmSleeve”, a patient monitoring system to support occupational therapists in their upper limb rehabilitation work with stroke patients.
Occupational therapists can provide rehabilitation in clinics, but they have limited insights into how much their patients use their affected arm and hand in daily life, which is critical for effective recovery to occur. Our work addresses this problem through three interrelated studies: (1) interviews with therapists to examine their current rehabilitation practices; (2) the design of the “ArmSleeve Sensor” to monitor a patient’s upper limb movement; and (3) the design and evaluation of the “ArmSleeve Dashboard” to visualize this information for therapists.
The findings show the importance of collecting objective data to assess exercise and activities outside therapy, but also a lack of contextual information to interpret this data.
We discuss considerations for how to address this issue through patient engagement as well as considerations for designing wearable sensor technology that is usable in everyday life.
[WEB SITE] New wireless sleeve to help people recover arm use after stroke – Medical News Today
Posted by Kostas Pantremenos in Paretic Hand, Rehabilitation robotics, Tele/Home Rehabilitation on February 8, 2016
Scientists at the University of Southampton are to develop and trial a new wearable technology to help people who have had a stroke recover use of their arm and hand.
Led by Professor Jane Burridge, the team will create a wireless sleeve, which will provide automatic, intelligent information about muscle movement and strength while patients practice every-day tasks at home.
The data will be available on a computer tablet to enable patients to review their progress as well as to allow therapists to tailor their rehabilitation programme.
The two-year project has been funded with a grant of just under £1 million from the National Institute for Health Research (NIHR) through its Invention for Innovation (i4i) programme and is a collaboration between the University of Southampton and Imperial College London, two medical technology consultancies; Maddison and Tactiq and NHS Trusts in Bristol and Portsmouth.

Scientists are to develop and trial a new wearable technology to help people who have had a stroke recover use of their arm and hand
Jane Burridge, Professor of Restorative Neuroscience at Southampton, comments: “About 150,000 people in the UK have a stroke each year and, despite improvements in acute care that results in better survival rates, about 60 per cent of people with moderate to severe strokes fail to recover useful function of their arm and hand.
“Stroke rehabilitation is increasingly home-based, as patients are often discharged from hospital after only a few days. This policy encourages independence and avoids problems associated with prolonged hospital stays. However, some patients struggle to carry out the exercises and they may question whether what they are doing is correct. Similarly therapists don’t have objective measurements about their patients’ muscle activity or ability to move. Rehabilitation technologies like our sleeve will address problems faced by both patients and therapists.”
The wearable technology is the first to incorporate mechanomyography (MMG) microphone-like sensors that detect the vibration of a muscle when it contracts, and inertial measurement units (IMU), comprising tri-axial accelerometers, gyroscopes and magnetometers that detect movement. Data from the two types of sensors will be put together and then data that is not needed, for example outside noise, will then be removed from the muscle signal.
The feedback to patients will be presented on a user-friendly computer interface as an accurate representation of their movement, showing them how much they have improved.
The same sleeve and computer tablet technology, but using different software and user-interfaces, will provide therapists with information to help them diagnose specific movement problems, and inform their clinical decision-making, monitor progress and therefore increase efficiency and effectiveness of therapy.
Professor Burridge adds: “We hope that our sleeve will help stroke patients regain the use of their arm and hand, reduce time spent with therapists and allow them to have the recommended 45 minutes daily therapy more flexibly.. It will also be used to assess patients’ problems accurately as well as more cheaply and practically than using laboratory-based technologies.”
The team, which includes members who themselves have suffered strokes, are working with medical device consultancies, Maddison and Tactiq to develop wearable prototypes and graphical user interfaces which can then be trialled with patients from two NHS sites. They will test the user interfaces, wireless connectivity and examine how easy the sleeve is to wear. The potential cost savings to the NHS will also be examined.
Source: New wireless sleeve to help people recover arm use after stroke – Medical News Today


